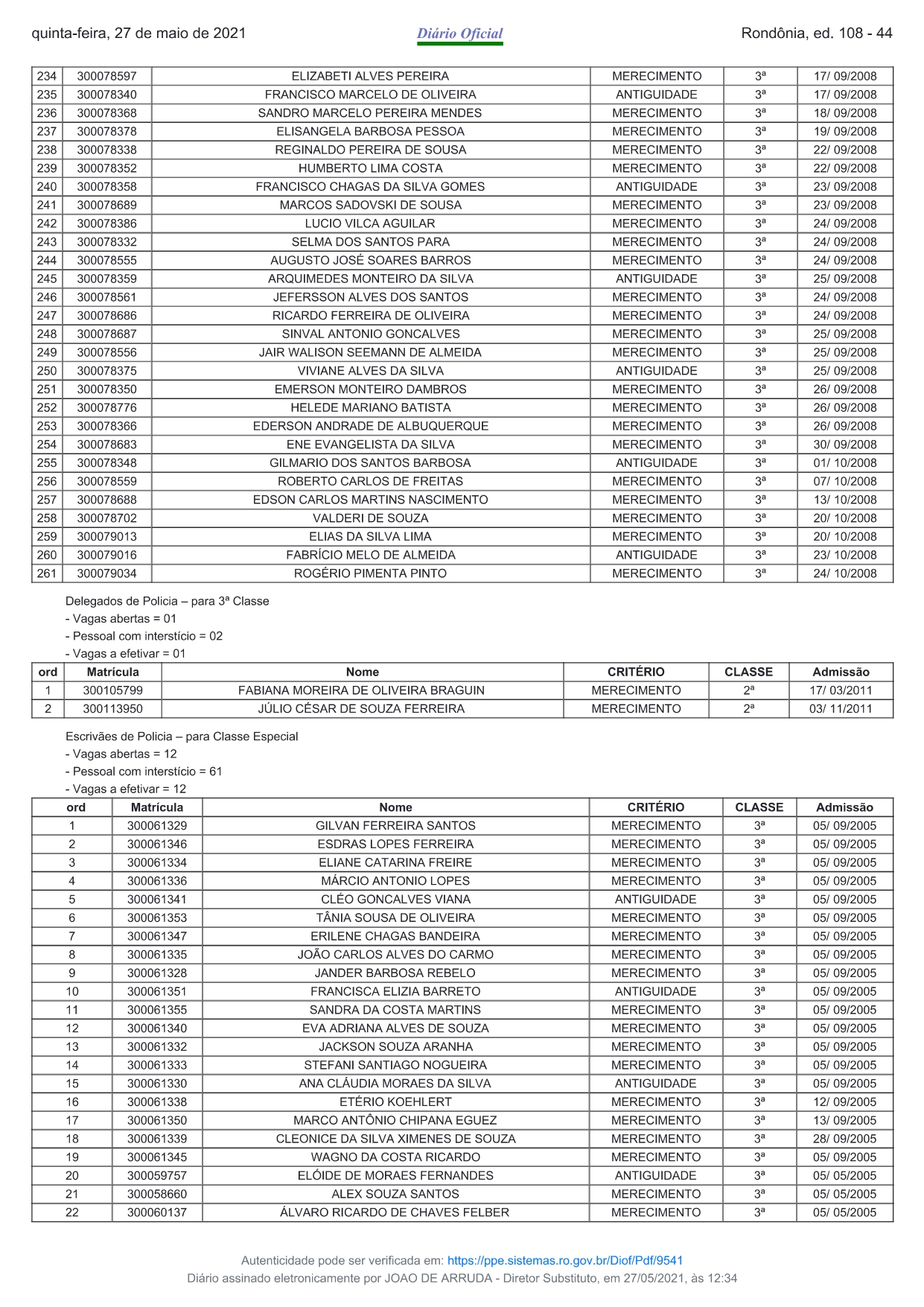
A diretoria do SINPOL-RO torna público aos filiados interessados, a RELAÇÃO GERAL DOS SERVIDORES QUE SERÃO PROMOVIDOS no processo de MARÇO DE 2021.
PRAZO DE 10 DIAS PARA RECURSO
À Diretoria








A diretoria do SINPOL-RO torna público aos filiados interessados, a RELAÇÃO GERAL DOS SERVIDORES QUE SERÃO PROMOVIDOS no processo de MARÇO DE 2021.
PRAZO DE 10 DIAS PARA RECURSO
À Diretoria









Sinpol Rondônia lança canal oficial, amplia atendimento e inicia nova fase com foco em modernização e comunicação eficiente
O canal oficial no WhatsApp funcionará como um ambiente exclusivo para divulgação de comunicados, notícias e ações d...
07/04/2026 Leia mais...

Sinpol Rondônia destaca publicação da classificação especial para promoções e orienta categoria
Classificação especial marca novo avanço na valorização e ascensão funcional da Polícia Civil de Rondônia
31/03/2026 Leia mais...